Show the Source Code for this
Show the source code file:
See the main HTML Source - (Default)
See JS (Java Script) files:
See CSS Style Sheet files:
Sorry, the "Copy" button
does NOT work for this
Copy it namually instead.
. JS . . . Source Codes
File :
``The function`` JS files:
Geometry.js - (Default)
Button - ``Show Source Code`` JS files:
../../../ShowSource / prettify.js
../../../ShowSource / ShowSource1.js
../../../ShowSource / ShowSource2.js
../../../ShowSource / ShowSource3.js
../../../ShowSource / jquery.min.js
../../../ShowSource / ga.js
Button - ``Copy Source Code`` JS files:
../../../CopySource / fieldtoclipboard.js
Your browser does not support iframes.
Sorry, the "Copy" button
does NOT work for this
Copy it namually instead.
. CSS . . . Source Codes
File :
``The function`` CSS files:
Geometry.css - (Default)
../../../cssA / Tools1.css)
Button - ``Save To/As`` CSS files:
../../../ cssA / SaveAs.css
Button - ``Show Source Code`` CSS files:
../../../ShowSource / SourceCode_Show.css
Button - ``Copy Source Code`` CSS files:
../../../CopySource / CopySource.css
Your browser does not support iframes.
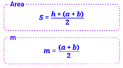
Trapezium - Geometry
Instruction: Follow all ``4 - STEPS``
SeekLoad LRN ©, www.seekload.50webs.com
S
eek
L
oad
©
LRN
A ``
Search Machine
`` and ``
All in one tool page
`` for
Internet Freedom Online
by: SeekLoad LRN ©, at:
www.seekload.50webs.com
.
Save Filename :
SeekLoad_
_Geometry.html -
40
Char.
: STEP - 1 :
Type a Value
Value
a
:
: STEP - 2 :
Type a Value
Value
b
:
: STEP - 3 :
Type a Value
Value
h
:
STEP - 4 :
If result is not automatic, Click the ``Solve / Calculate`` button:
|
|
| | | |